Bruno Lotter, Diter Spath, Peter Baumgartner
Angepasster Auszug aus “Primär-Sekundär-Analyse”, 5.3 Manuelle Montage von Kleingeräten
Definition der Primär-Sekundär-Analyse der manuellen Kleingerätemontage
Für diesen Montagebereich wird die Primär-Sekundär-Analyse wie folgt definiert:
Unter Primäraufwand sind alle Aufwendungen zu verstehen, die der unmittelbaren Erzeugung eines Kundennutzens durch seine Montage dienen.
Unter Sekundäraufwand sind alle Aufwendungen zu verstehen die aufgrund des gewählten Montageprinzips keinen unmittelbaren Kundennutzen erzeugen. Beispiele sind:
Weitertransportieren, Wenden, Neugreifen, Körperbewegungen wie Gehen, Beugen usw.
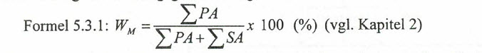
Die Berechnung des Wirkungsgrades erfolgt nach
Der hierbei ermittelte Wirkungsgrad ergibt eine sichere Aussage über die Effizienz eines Montageplatzes, einer Montagestation oder eines Montagesystems.
Grundanalyse der manuellen Montage
Die Grundanalyse beschränkt sich auf den Montageablauf und beginnt nach der Bereitstellung des zu montierenden Materials und endet vor dem Prüfen und Verpacken. Prüfaufwand, welcher im Montageprozess integriert ist, muss mit erfasst werden, gilt jedoch als sekundärer Aufwand. Zur Erklärung der Begriffsbestimmung primärer und sekundärer Montagevorgänge in diesem Anwendungsbereich dient das in Abb. 5-3 dargestellte.
Beispiel:
Ei
n Produkt, bestehend aus acht Einzelteilen, wird in einer Anordnung gemäß ABB. 5-3, an drei manuellen Montagearbeitsplätzen montiert. Am Montagearbeitsplatz 1 wird das Basisteil der zu montierenden Baugruppe vom Arbeitenden gegriffen und in die Fügeposition gebracht. Zwei weitere Teile werden gefügt. Diese Vorgänge fallen unter Primäraufwand. Das Ablegen der am Arbeitsplatz 1 gefügten Vormontagegruppen auf den Zwischenpuffer (ZP1) dagegen ist ein sekundärer Vorgang, da er nicht der unmittelbaren Erzeugung des Kundennutzens dient, jedoch aufgrund der gewählten Organisationsform notwendig ist.
Das Greifen der vormontierten Baugruppe und Zwischenpuffer (ZP1) am Montageplatz 2 und Bringen in Fügeposition ist ebenfalls ein sekundärer Vorgang. Das Fügen von zwei weiteren Teilen am Montageplatz 2 ist dagegen wiederum ein Primär-Vorgang. Das Ablegen vom Arbeitsplatz 2 nach durchgeführter Teilmontage auf den Zwischenpuffer (ZP2) ist ein Sekundär-Montagevorgang. Ebenso das Greifen am Montageplatz 3 vom Zwischenpuffer (ZP2), um die vormontierte Baugruppe in die Fügeposition zu bringen.


Dieses Beispiel zeigt auf, dass bei dem betrachteten Produkt 72,2 % der aufgewandten Arbeitszeit dem Kundennutzen dienen und dass 27,8 % der aufgewandten Arbeitszeit keinen Kundennutzen erzeugen. Da bei einer Fließmontage eine gleichmäßige Austaktung nicht möglich ist, muss für die Arbeitsplätze mit geringerem Arbeitsinhalt der Differenzbetrag zum maximalen Arbeitsinhalt (= Taktausgleich) als Sekundäraufwand betrachtet werden (im oben genannten Beispiel nicht berücksichtigt). Sollte der Montageaufwand an einem der drei genannten Arbeitsplätze ein Wenden des Teiles notwendig machen, so würde dieser Aufwand ebenfalls als Sekundäraufwand zu betrachten sein.
Das Arbeitsplatzsystem von LP Montagetechnik
Für die Manuelle Montage
Das perfekte Arbeitsplatzsystem für die Arbeitsplatzgestaltung Ihrer Produktion
Bei unseren Arbeitsplatzsystemen steht Ergonomie an erster Stelle. Dadurch schützen sie die Gesundheit Ihre Mitarbeiter und erhöhen gleichzeitig die Produktivität ihrer Produktion. Durch den hohen Funktionsumfang und die individuelle Anpassung auf ihre Produktion, erreichen Sie eine wertschöpfende manuelle Montage.


